Βιομηχανικά Νέα

Λύσεις με βάση την κυκλοδεξτρίνη για ενίσχυση της διαλυτότητας και της σταθερότητας

Λύσεις με βάση την κυκλοδεξτρίνη για ενίσχυση της διαλυτότητας και της σταθερότητας

Τεχνική επισκόπηση του Hydroxypropyl Betadex and Betadex Sulfobutyl Ether Sodium

Οι κυκλοδεξτρίνες αναγνωρίζονται ευρέως για την ικανότητά τους να βελτιώνουν τη διαλυτότητα και τη σταθερότητα των ελάχιστα διαλυτών ή χημικά ευαίσθητων ενώσεων. Λόγω της μοναδικής κυκλικής μοριακής τους δομής, οι κυκλοδεξτρίνες και τα παράγωγά τους έχουν γίνει σημαντικά λειτουργικά έκδοχα σε φαρμακευτικά, χημικά και συναφή πεδία σκευασμάτων. Ως απάντηση στις αυξανόμενες τεχνικές και κανονιστικές απαιτήσεις, η Xi'an Deli Biochemical έχει βελτιώσει περαιτέρω την τεχνική τεκμηρίωση και την υποστήριξη προϊόντων για τα βασικά της παράγωγα κυκλοδεξτρίνης:υδροξυπροπυλο betadex (HPBCD) και betadex σουλφοβουτυλαιθέρα νατρίου (SBECD).


Δομικά Χαρακτηριστικά και Λειτουργική Απόδοση Κυκλοδεξτρινών

Οι κυκλοδεξτρίνες είναι κυκλικοί ολιγοσακχαρίτες που αποτελούνται από μονάδες γλυκόζης που συνδέονται με α-1,4 γλυκοσιδικούς δεσμούς. Η μοριακή τους αρχιτεκτονική διαθέτει μια υδρόφιλη εξωτερική επιφάνεια και μια σχετικά υδρόφοβη εσωτερική κοιλότητα, επιτρέποντας το σχηματισμό συμπλεγμάτων εγκλεισμού με ένα ευρύ φάσμα φιλοξενούμενων μορίων. Η χημική τροποποίηση της δομής της κυκλοδεξτρίνης μπορεί να ενισχύσει σημαντικά την υδατική διαλυτότητα και να διευρύνει την ευελιξία της εφαρμογής.


Hydroxypropyl Betadex (HPBCD)


Το Hydroxypropyl betadex είναι μια χημικά τροποποιημένη β-κυκλοδεξτρίνη που έχει σχεδιαστεί για να ξεπερνά την περιορισμένη διαλυτότητα των φυσικών κυκλοδεξτρινών. Η ενισχυμένη υδατοδιαλυτότητα και η ευνοϊκή συμβατότητά του καθιστούν το HPBCD κατάλληλο για εφαρμογές που απαιτούν αποτελεσματική διαλυτοποίηση, σταθεροποίηση και ευελιξία στη σύνθεση σε διάφορα συστήματα.


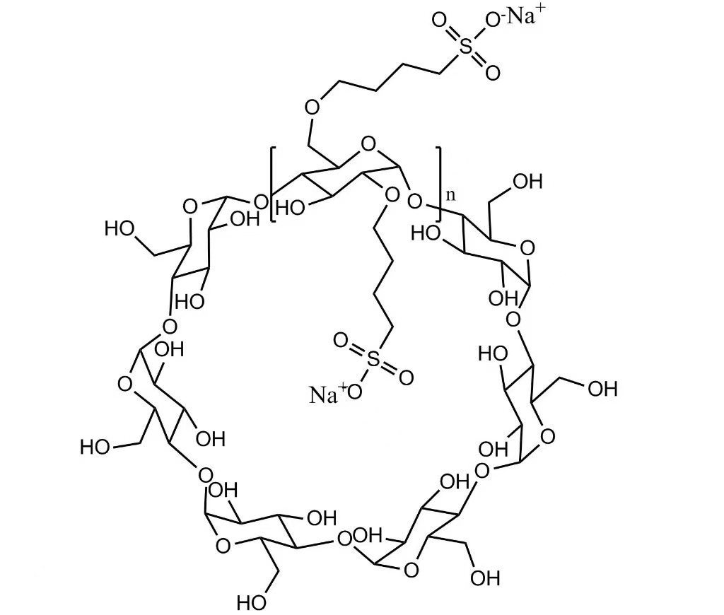
Betadex Sulfobutyl Ether Sodium (SBECD)


Το Betadex σουλφοβουτυλαιθέρα νατρίου είναι ένα ανιονικό παράγωγο κυκλοδεξτρίνης που χαρακτηρίζεται από υποκαταστάτες σουλφοβουτυλαιθέρα. Αυτή η δομή ενισχύει τις ηλεκτροστατικές αλληλεπιδράσεις με συγκεκριμένες ενώσεις, υποστηρίζοντας βελτιωμένη διαλυτότητα, σταθερότητα συμπλόκου και στιβαρότητα της σύνθεσης σε πιο απαιτητικές εφαρμογές.

Τυποποιημένες πληροφορίες προϊόντος και τεχνική υποστήριξη

Για την καλύτερη υποστήριξη της ανάπτυξης σκευασμάτων, της αξιολόγησης ποιότητας και των διαδικασιών προμηθειών, η Xi'an Deli Biochemical έχει ενημερώσει συστηματικά τις πληροφορίες προϊόντων για το HPBCD και το SBECD, συμπεριλαμβανομένων:


  • Σαφώς καθορισμένες και τυποποιημένες προδιαγραφές προϊόντων και αναλυτικές παράμετροι
  • Πιστοποιητικά ανάλυσης για συγκεκριμένες παρτίδες (COA) για τη διασφάλιση της ιχνηλασιμότητας και της επαλήθευσης ποιότητας
  • Διευρυμένες τεχνικές συχνές ερωτήσεις σχετικά με θέματα χειρισμού, αποθήκευσης και τυπικών εφαρμογών
  • Βελτιστοποιημένες περιλήψεις προϊόντων που έχουν σχεδιαστεί για να διευκολύνουν την αποτελεσματική τεχνική εξέταση και επιλογή


Αυτές οι βελτιώσεις έχουν σκοπό να ενισχύσουν τη διαφάνεια, να μειώσουν τα χρονοδιαγράμματα αξιολόγησης και να υποστηρίξουν τη σταθερή απόδοση του προϊόντος σε όλο τον κύκλο προμήθειας.


Κατασκευαστική Εμπειρία και Διασφάλιση Ποιότητας

Ιδρύθηκε το 1999, η Xi'an Deli Biochemical φέρνει 26 χρόνια εμπειρίας στην κατασκευή παραγώγων κυκλοδεξτρίνης. Η εταιρεία εστιάζει στην ελεγχόμενη παραγωγή υδροξυπροπυλ betadex και betadex σουλφοβουτυλαιθέρα νατρίου, δίνοντας έμφαση στη συνέπεια της διαδικασίας, στην αξιοπιστία από παρτίδα σε παρτίδα και στη μακροπρόθεσμη σταθερότητα εφοδιασμού. Οι δομημένες πρακτικές διαχείρισης ποιότητας υποστηρίζουν τις τεχνικές, ρυθμιστικές και προμηθευτικές απαιτήσεις των πελατών.


Πεδίο εφαρμογής και τεχνική συνεργασία

Με βάση τους μηχανισμούς συμπερίληψης και σταθεροποίησης της κυκλοδεξτρίνης, το HPBCD και το SBECD ισχύουν σε πολλαπλούς τεχνικούς τομείς, συμπεριλαμβανομένων σκευασμάτων που σχετίζονται με φαρμακευτικά προϊόντα, ειδικών χημικών προϊόντων, κτηνιατρικών προϊόντων και άλλων συστημάτων που απαιτούν ενισχυμένη διαλυτότητα και σταθερότητα. Η Xi'an Deli Biochemical συνεχίζει να συνεργάζεται με συνεργάτες μέσω επικοινωνίας εστιασμένης στην εφαρμογή και τεχνικής συνεργασίας για την υποστήριξη των εξελισσόμενων αναγκών σκευασμάτων.


Σχετικά με τις εταιρείες βιοχημικής βιομηχανίας Xi'an Deli

Η Xi'an Deli Biochemical Industry Companies ιδρύθηκε το 1999 και είναι ένας εξειδικευμένος κατασκευαστής παραγώγων κυκλοδεξτρίνης, προμηθεύοντας υδροξυπροπυλ betadex (HPBCD) και betadex σουλφοβουτυλαιθέρα νατρίου (SBECD) σε παγκόσμιους πελάτες. Με μακροχρόνια εστίαση στη συνέπεια των προϊόντων, τις σαφείς προδιαγραφές και την πρακτική τεχνική υποστήριξη, η εταιρεία παραμένει προσηλωμένη στην παροχή αξιόπιστων λύσεων με βάση την κυκλοδεξτρίνη.


Αν θέλετε, μπορώ επίσης:


  • Περαιτέρω βελτιστοποιήστε αυτό για το Google SEO (χωρίς να μειώσετε τον τεχνικό τόνο)
  • Συμπυκνώστε το σε μια έκδοση «Τεχνική ενημέρωση» στη σελίδα προϊόντος
  • Προσαρμόστε το για ρυθμιστικούς πελάτες / πελάτες που εστιάζουν στην ποιότητα


Πες μου μόνο πού σκοπεύεις να το δημοσιεύσεις.


Αποστολή Ερώτησης


icon
X
Χρησιμοποιούμε cookies για να σας προσφέρουμε καλύτερη εμπειρία περιήγησης, να αναλύσουμε την επισκεψιμότητα του ιστότοπου και να εξατομικεύσουμε το περιεχόμενο. Χρησιμοποιώντας αυτόν τον ιστότοπο, συμφωνείτε με τη χρήση των cookies από εμάς. Πολιτική Απορρήτου
Απορρίπτω Αποδέχομαι